Mark against the correct answer in each of the following:
Question:
Mark $(\sqrt{)}$ against the correct answer in each of the following:
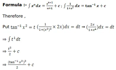
$\int \frac{2 x \tan ^{-1} x^{2}}{\left(1+x^{4}\right)} d x=?$
A. $\left(\tan ^{-1} x^{2}\right)^{2}+C$
B. $2 \tan ^{-1} x^{2}+C$
C. $\frac{1}{2}\left(\tan ^{-1} x^{2}\right)^{2}+C$
D. none of these
Solution:
