Mark against the correct answer in each of the following:
Question:
Mark $(\sqrt{)}$ against the correct answer in each of the following:
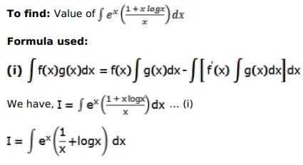
$\int e^{x}\left(\frac{1+x \log x}{x}\right) d x=?$
A. $e^{x} \cdot \frac{1}{x}+C$
B. $e^{x} \log x+C$
C. $x e^{x} \log x+C$
D. None of these
Solution:

