Question:
Mark $(\sqrt{ })$ against the correct answer in each of the following:
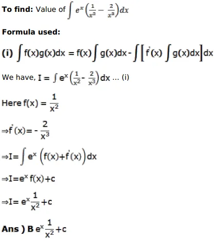
$\int e^{x}\left(\frac{1}{x^{2}}-\frac{2}{x^{3}}\right) d x=?$
A. $\frac{-e^{x}}{x^{2}}+C$
$B$ $\frac{e^{x}}{x^{2}}+C$
C. $\mathrm{e}^{\mathrm{x}}\left(\frac{-1}{\mathrm{x}}+\frac{1}{\mathrm{x}^{2}}\right)+\mathrm{C}$
D. none of these
Solution:
