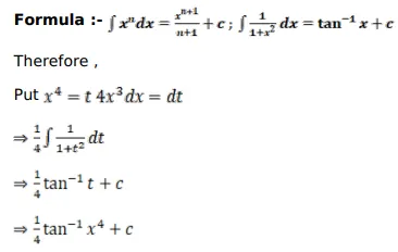
Question:
Mark $(\sqrt{)}$ against the correct answer in each of the following:
$\int \frac{x^{3}}{\left(1+x^{8}\right)} d x=?$
A. $\tan ^{-1} \mathrm{x}^{4}+\mathrm{C}$
B. $4 \tan ^{-1} x^{4}+C$
C. $\frac{1}{4} \tan ^{-1} \mathrm{x}^{4}+\mathrm{C}$
D. none of these
Solution:
