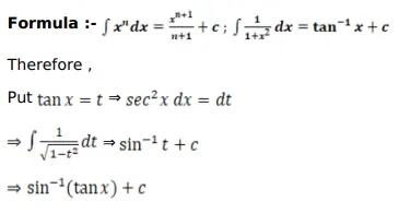
Question:
Mark $(\sqrt{ })$ against the correct answer in each of the following:
$\int \frac{\sec ^{2} x}{\sqrt{1-\tan ^{2} x}} d x=?$
A. $\sin ^{-1}(\tan x)+C$
B. $\cos ^{-1}(\sin x)+C$
C. $\tan -1(\cos x)+C$
D. $\tan ^{-1}(\sin x)+C$
Solution:
