Mark against the correct answer in each of the following:
Question:
Mark $(\sqrt{)}$ against the correct answer in each of the following:
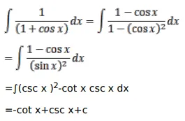
$\int \frac{1}{(1+\cos x)} d x=?$
A. $-\cot x+\operatorname{cosec} x+C$
B. $\cot x-\operatorname{cosec} x+C$
C. $\cot x+\operatorname{cosec} x+C$
D. None of these
Solution:

