Mark against the correct answer in each of the following:
Question:
Mark $(\sqrt{ })$ against the correct answer in each of the following:
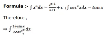
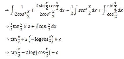
$\int \frac{(1+\sin x)}{(1+\cos x)} d x=?$
A. $\tan \frac{x}{2}+2 \log \left|\cos \frac{x}{2}\right|+C$
B. $-\tan \frac{x}{2}+2 \log \left|\cos \frac{x}{2}\right|+C$
C. $\tan \frac{x}{2}-2 \log \left|\cos \frac{x}{2}\right|+C$
D. none of these
Solution:

