Question:
Mark $(\sqrt{)}$ against the correct answer in each of the following:
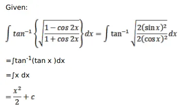
$\int \tan ^{-1}\left\{\sqrt{\frac{1-\cos 2 x}{1+\cos 2 x}}\right\} d x=?$
A. $\frac{-1}{\left(1+x^{2}\right)}+C$
B. $\frac{1}{\sqrt{1+x^{2}}}+C$
C. $\frac{1}{\sqrt{1-x^{2}}}+C$
D. $\frac{x^{2}}{2}+C$
Solution:
