Question:
Mark $(\sqrt{ })$ against the correct answer in each of the following:
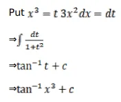
$\int \frac{3 x^{2}}{\left(1+x^{6}\right)} d x=?$
A. $\sin ^{-1} x^{3}+C$
B. $\cos ^{-1} x^{3}+C$
C. $\tan ^{-1} x^{3}+C$
D. $\cot ^{-1} \mathrm{x}^{3}+\mathrm{C}$
Solution:

