Mark against the correct answer in each of the following:
Question:
Mark $(\sqrt{)}$ against the correct answer in each of the following:
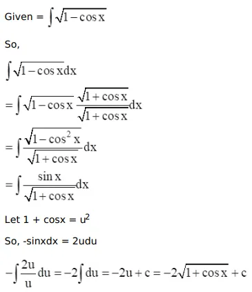
$\int \sqrt{1-\cos x} d x=?$
A. $-\sqrt{2} \cos \frac{x}{2}+C$
B. $-2 \sqrt{2} \cos \frac{x}{2}+C$
C. $\frac{-1}{2} \cos \frac{x}{2}+C$
D. $\frac{-1}{\sqrt{2}} \cos \frac{x}{2}+C$
Solution:

where $\mathrm{c}$ is the integrating constant.