Mark against the correct answer in each of the following:
Question:
Mark $(\sqrt{ })$ against the correct answer in each of the following:
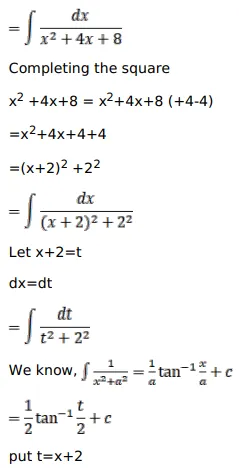
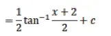
$\int \frac{d x}{\left(x^{2}+4 x+8\right)}=?$
A. $\frac{1}{2} \tan ^{-1}\left(\frac{\mathrm{x}+1}{2}\right)+\mathrm{C}$
B. $\frac{1}{2} \tan ^{-1}\left(\frac{\mathrm{x}+2}{2}\right)+\mathrm{C}$
C. $\frac{1}{2} \tan ^{-1}(\mathrm{x}+2)+\mathrm{C}$
D. $\tan ^{-1}\left(\frac{\mathrm{x}+2}{2}\right)+\mathrm{C}$
Solution:

