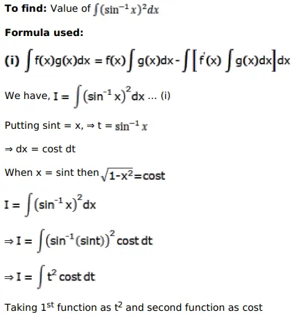
Question:
Mark $(\sqrt{)}$ against the correct answer in each of the following:
$\int\left(\sin ^{-1} x\right)^{2} d x=?$
A. $\frac{2 \sin ^{-1} x}{\sqrt{1-x^{2}}}+C$
B. $\frac{1}{3}\left(\sin ^{-1} x\right)^{3}+\frac{1}{\sqrt{1-x^{2}}}+C$
C. $x\left(\sin ^{-1} x\right)^{2}+\left(\sin ^{-1} x\right) \sqrt{1-x^{2}}+2 x+C$
D. $x\left(\sin ^{-1} x\right)^{2}+2\left(\sin ^{-1} x\right) \sqrt{1-x^{2}}-2 x+C$
Solution:


