Mark against the correct answer in each of the following:
Question:
Mark $(\sqrt{)}$ against the correct answer in each of the following:
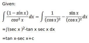
$\int \frac{(1-\sin x)}{\cos ^{2} x} d x=?$
A. $\tan x+\sec x+C$
B. $\tan x-\sec x+C$
C. $-\tan x+\sec x+C$
D. $-\tan x-\sec x+C$
Solution:
