Question:
Mark $(\sqrt{)}$ against the correct answer in each of the following:
$\int x \sin ^{3} x^{2} \cos x^{2} d x=?$
A. $\frac{1}{4} \sin ^{4} x^{2}+C$
B. $\frac{1}{8} \sin ^{4} x^{2}+C$
C. $\frac{1}{2} \sin ^{4} x^{2}+C$
D. none of these
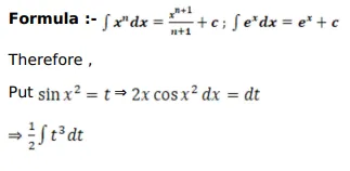
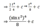
Solution:

