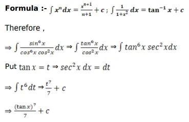
Question:
Mark $(\sqrt{)}$ against the correct answer in each of the following:
$\int \frac{\sin ^{6} x}{\cos ^{8}} d x=?$
A. $\frac{1}{7} \tan ^{7} \mathrm{x}+\mathrm{C}$
B. $\frac{1}{7} \sec ^{7} \mathrm{x}+\mathrm{C}$
C. $\log \left|\cos ^{6} x\right|+C$
D. none of these
Solution:
