Question:
Mark $(\sqrt{)}$ against the correct answer in each of the following:
A unit vector in the direction of the vector $\vec{a}=(2 \hat{i}-3 \hat{j}+6 \hat{k})_{\text {is }}$ is
A. $\left(\hat{i}-\frac{3}{2} \hat{j}+3 \hat{k}\right)$
B. $\left(\frac{2}{5} \hat{i}-\frac{3}{5} \hat{j}+\frac{6}{5} \hat{k}\right)$
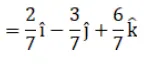
C. $\left(\frac{2}{7} \hat{i}-\frac{3}{7} \hat{j}+\frac{6}{7} \hat{k}\right)$
D. none of these
Solution:

