Question:
Mark $(\sqrt{ })$ against the correct answer in each of the following:
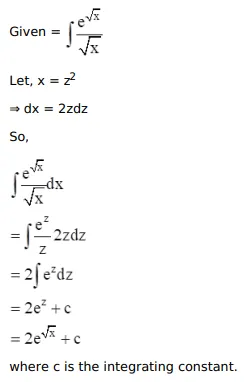
$\int \frac{e^{\sqrt{x}}}{\sqrt{x}} d x=?$
A. $\mathrm{e}^{\sqrt{x}}+C$
B. $\frac{1}{2} \mathrm{e}^{\sqrt{x}}+C$
C. $2 \mathrm{e}^{\sqrt{x}}+C$
D. none of these
Solution:
