Mark against the correct answer in each of the following:

Question:

Mark $(\sqrt{ })$ against the correct answer in each of the following:

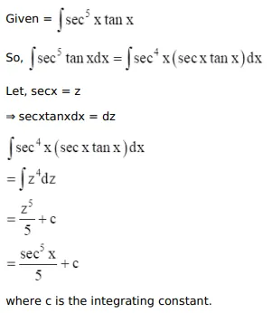
$\int \sec ^{5} x \tan x \mathrm{dx}=?$

A. $5 \tan ^{5} x+C$

B. $\frac{1}{5} \tan ^{5} \mathrm{x}+\mathrm{C}$

C. $5 \log |\cos x|+C$

D. none of these

Solution:

Leave a comment