Question:
Mark $(\sqrt{)}$ against the correct answer in each of the following:
$\int \tan ^{-1} \sqrt{\mathrm{x}} \mathrm{dx}=?$
A. $(x-1) \tan ^{-1} \sqrt{x}+\sqrt{x}+C$
B. $(x+1) \tan ^{-1} \sqrt{x}-\sqrt{x}+C$
C. $\frac{1}{2} \sqrt{x} \tan ^{-1} \sqrt{x}-\frac{1}{2} \sqrt{x}+C$
D. none of these
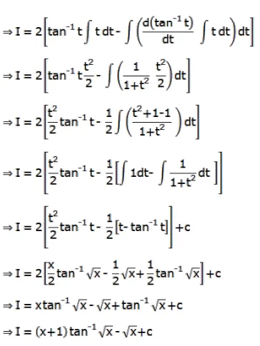
Solution:


