Mark against the correct answer in each of the following:
Question:
Mark $(\sqrt{ })$ against the correct answer in each of the following:
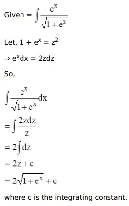
$\int \frac{e^{x}}{\sqrt{1+e^{x}}} d x=?$
A. $2 \sqrt{1+\mathrm{e}^{\mathrm{x}}}+\mathrm{C}$
B. $\frac{1}{2} \sqrt{1+e^{x}}+C$
C. $\frac{1}{\sqrt{1+\mathrm{e}^{x}}}+C$
D. none of these
Solution:
