Question:
Mark $(\sqrt{)}$ against the correct answer in each of the following:
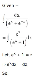
$\int \frac{d x}{\left(e^{x}+e^{-x}\right)}=?$
A. $\cot -1\left(e^{x}\right)+C$
B. $\tan -1\left(e^{x}\right)+C$
C. $\log \left|e^{x}+1\right|+C$
D. none of these
Solution:

