Question:
Mark $(\sqrt{)}$ against the correct answer in each of the following:
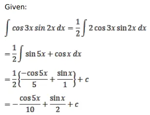
$\int \cos 3 x \sin 2 x d x=?$
A. $\frac{1}{2} \cos x-\frac{1}{10} \cos 5 x+C$
B. $-\frac{1}{2} \sin x+\frac{1}{10} \sin 5 x+C$
C. $-\frac{1}{2} \cos x+\frac{1}{10} \cos 5 x+C$
D. None of these
Solution:
