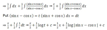
Question:
Mark $(\sqrt{)}$ against the correct answer in each of the following:
$\int \frac{\mathrm{dx}}{(1-\cot x)}=?$
A. $\log |\sin x-\cos x|+C$
B. $\frac{1}{2} \log |\sin x-\cos x|+C$
C. $\frac{1}{2} x-\frac{1}{2} \log |\sin x-\cos x|+C$
D. $\frac{1}{2} x+\frac{1}{2} \log |\sin x-\cos x|+C$
Solution:

