Question:
Mark $(\sqrt{)}$ against the correct answer in each of the following:
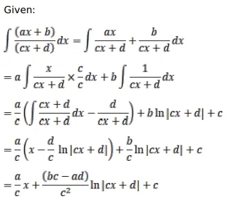
$\int \frac{(a x+b)}{(c x+d)} d x=?$
A. $\frac{\mathrm{ax}}{\mathrm{c}}+\log |\mathrm{cx}+\mathrm{d}|+\mathrm{C}$
B. $\frac{a}{c}+\log |c x+d|+C$
C. $\frac{a x}{c}+\frac{(b c-a d)}{c^{2}} \log |c x+d|+C$
D. None of these
Solution:
