Question:
Mark $(\sqrt{ })$ against the correct answer in each of the following:
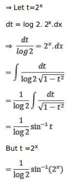
$\int \frac{2^{x}}{\sqrt{1-4^{x}}} d x=?$
A. $\sin ^{-1}\left(2^{x}\right) \log 2+C$
B. $\frac{\sin ^{-1}\left(2^{x}\right)}{\log 2}+C$
C. $\sin ^{-1}\left(2^{x}\right)+C$
D. none of these
Solution:
