Mark against the correct answer in each of the following:
Question:
Mark $(\sqrt{)}$ against the correct answer in each of the following:
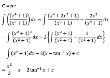
$\int\left(\frac{\left(x^{4}+1\right)}{\left(x^{2}+1\right)}\right) d x=?$
A. $\frac{x^{3}}{3}+x-\tan ^{-1} x+C$
B. $\frac{x^{3}}{3}-x-2 \tan ^{-1} x+C$
C. $\frac{x^{3}}{3}+x-2 \tan ^{-1} x+C$
D. None of these
Solution:
