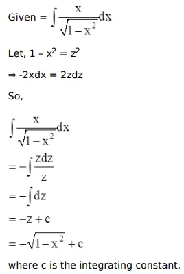
Question:
Mark $(\sqrt{ })$ against the correct answer in each of the following:
$\int \frac{\mathrm{x}}{\sqrt{1-\mathrm{x}^{2}}} \mathrm{dx}=?$
A. $\sin ^{-1} \mathrm{x}+\mathrm{C}$
B. $\sin ^{-1} \sqrt{\mathrm{x}}+\mathrm{C}$
C. $\sqrt{1-\mathrm{x}^{2}}+\mathrm{C}$
D. $-\sqrt{1-x^{2}}+C$
Solution:
