Mark against the correct answer in each of the following:
Question:
Mark $(\sqrt{)}$ against the correct answer in each of the following:
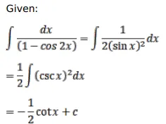
$\int \frac{d x}{(1-\cos 2 x)}=?$
A. $\frac{1}{2} \cot \mathrm{x}+\mathrm{C}$
B. $2 \cot x+C$
C. $-\frac{1}{2} \cot x+C$
D. $-2 \cot x+C$
Solution:
