Question:
Mark $(\sqrt{)}$ against the correct answer in each of the following:
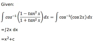
$\int \cos ^{-1}\left(\frac{1-\tan ^{2} x}{1+\tan ^{2} x}\right) d x=?$
A. $x^{2}+C$
B. $-\mathrm{x}^{2}+\mathrm{C}$
C. $\frac{1}{\sqrt{1+x^{2}}}+C$
D. $\frac{1}{\sqrt{1-x^{2}}}+C$
Solution:
