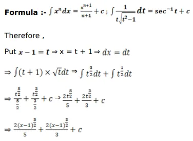
Question:
Mark $(\sqrt{)}$ against the correct answer in each of the following:
$\int x \sqrt{x-1} d x=?$
A. $\frac{2}{3}(x-1)^{3 / 2}+C$
B. $\frac{2}{5}(x-1)^{5 / 2}+C$
C. $\frac{2}{5}(x-1)^{5 / 2}+\frac{3}{2}(x-1)^{3 / 2}+C$
D. none of these
Solution:
