Mark against the correct answer in each of the following:
Question:
Mark $(\sqrt{)}$ against the correct answer in each of the following:
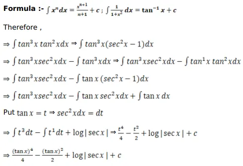
$\int \tan ^{5} x d x=?$
A. $\frac{1}{6} \tan ^{6} \mathrm{x}+\mathrm{C}$
B. $\frac{1}{4} \tan ^{4} x+\frac{1}{2} \tan ^{2} x+\log |\sec x|+C$
C. $\frac{1}{4} \tan ^{4} x-\frac{1}{2} \tan ^{2} x+\log |\sec x|+C$
D. none of these
Solution:
