Mark against the correct answer in each of the following:
Question:
Mark $(\sqrt{ })$ against the correct answer in each of the following:
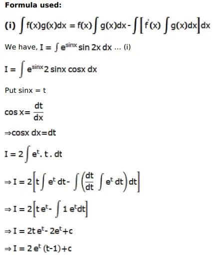
$\int e^{\sin x} \sin 2 x d x=?$
A. $(2 \sin x) e^{\sin x}+C$
B. $(2 \cos x) e^{\sin x}+C$
C. $2 e^{\sin x}(\sin x+1)+C$
D. $2 e^{\sin x}(\sin x-1)+C$
Solution:
To find: Value of $\int e^{\sin x} \sin 2 x d x$

