Mark against the correct answer in each of the following:
Question:
Mark $(\sqrt{)}$ against the correct answer in each of the following:
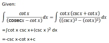
$\int \frac{\cot x}{(\operatorname{cosec} x-\cot x)} d x=?$
A. $=\operatorname{cosec} x-\cot x-x+C$
B. $\operatorname{cosec} x-\cot x-x+C$
C. $-\operatorname{cosec} x+\cot x-x+C$
D. $\operatorname{cosec} x+\cot x-x+C$
Solution:
