Mark against the correct answer in each of the following:

Question:

Mark $(\sqrt{ })$ against the correct answer in each of the following:

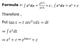
$\int e^{\tan x} \sec ^{2} x d x=?$

A. $e^{\tan x}+\tan x+C$

B. $e^{\tan x} \cdot \tan x+C$

C. $e^{\tan x}+C$

D. none of these

Solution:

Leave a comment