Question:
Mark $(\sqrt{ })$ against the correct answer in each of the following:
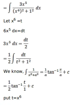
$\int \frac{3 x^{5}}{\left(1+x^{12}\right)} d x=?$
A. $\tan ^{-1} \mathrm{x}^{6}+\mathrm{C}$
B. $\frac{1}{4} \tan ^{-1} x^{6}+C$
C. $\frac{1}{2} \tan ^{-1} \mathrm{x}^{6}+\mathrm{C}$
D. none of these
Solution:

