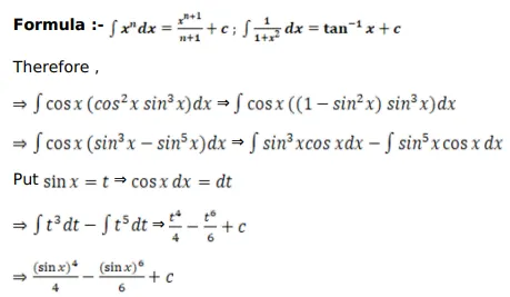
Question:
Mark $(\sqrt{)}$ against the correct answer in each of the following:
$\int \sin ^{3} x \cos ^{3} x d x=?$
A. $-\frac{1}{4} \cos ^{4} \mathrm{x}+\frac{1}{6} \cos ^{6} \mathrm{x}+\mathrm{C}$
B. $\frac{1}{4} \cos ^{4} x-\frac{1}{6} \cos ^{6} x+C$
C. $\frac{1}{4} \cos ^{4} x+\frac{1}{6} \cos ^{6} x+C$
D. none of these
Solution:
