Question:
Mark $(\sqrt{ })$ against the correct answer in each of the following:
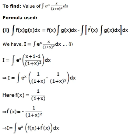
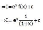
$\int e^{x} \cdot \frac{x}{(1+x)^{2}} d x=?$
A. $\mathrm{e}^{\mathrm{x}} \cdot \frac{1}{(1+\mathrm{x})}+\mathrm{C}$
B. $e^{x} \cdot \frac{1}{x}+C$
C. $e^{x} \cdot \frac{x}{(1+x)}+C$
D. None of these
Solution:


