Question:
Mark $(\sqrt{ })$ against the correct answer in each of the following:
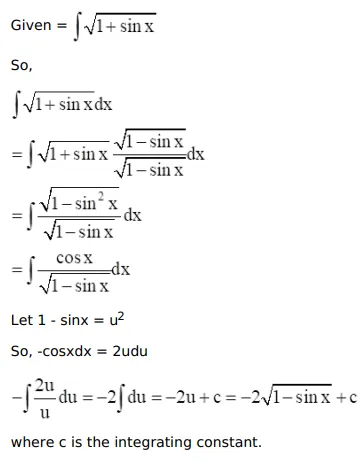
$\int \sqrt{1+\sin x} d x=?$
A. $-\sqrt{2} \sin \left(\frac{\pi}{4}-\frac{x}{2}\right)+C$
B. $\sqrt{2} \sin \left(\frac{\pi}{4}-\frac{x}{2}\right)+C$
C. $-2 \sqrt{2} \sin \left(\frac{\pi}{4}-\frac{x}{2}\right)+C$
D. none of these
Solution:
