Mark against the correct answer in each of the following:
Question:
Mark $(\sqrt{)}$ against the correct answer in each of the following:
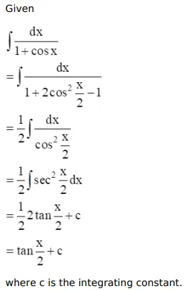
$\int \frac{d x}{(1+\cos x)}=?$
A. $\frac{1}{2} \tan \frac{x}{2}+C$
B. $-\cot \frac{x}{2}+C$
C. $\tan \frac{x}{2}+C$
D. none of these
Solution:
