Mark against the correct answer in each of the following:
Question:
Mark $(\sqrt{)}$ against the correct answer in each of the following:
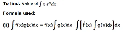
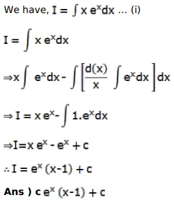
$\int x e^{x} d x=?$
A. $e^{x}(1-x)+C$
B. $e^{x}(x-1)+C$
C. $e^{x}(x-1)+C$
D. none of these
Solution:

