Mark against the correct answer in each of the following:

Question:

Mark $(\sqrt{)}$ against the correct answer in each of the following:

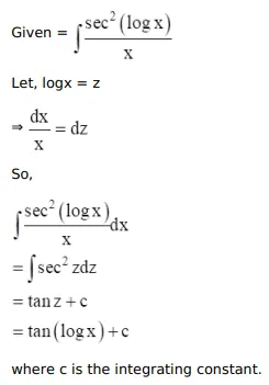
$\int \frac{\sec ^{2}(\log x)}{x} d x=?$

A. $\log (\tan x)+C$

B. $-\log (\tan x)+C$

C. $\tan (\tan x)+C$

D. $-\tan (\log x)+C$

Solution:

Leave a comment