Question:
Mark $(\sqrt{)}$ against the correct answer in each of the following:
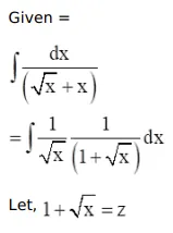
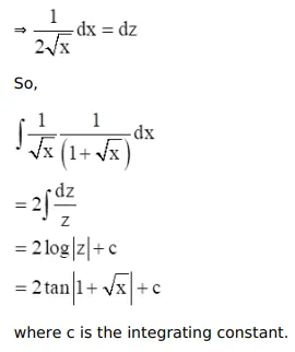
$\int \frac{1}{(\sqrt{x}+x)} d x=?$
A. $\log |1+\sqrt{x}|+C$
B. $2 \log |1+\sqrt{\mathrm{x}}|+\mathrm{C}$
C. $\frac{1}{\sqrt{x}} \tan ^{-1} \sqrt{x}+C$
D. none of these
Solution:

