Mark against the correct answer in each of the following:
Question:
Mark $(\sqrt{)}$ against the correct answer in each of the following:
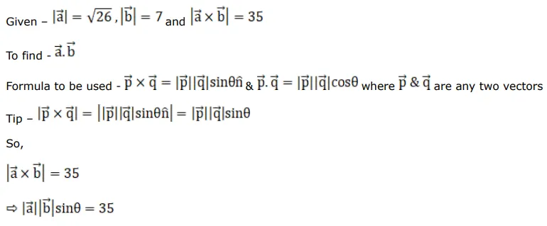
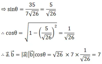
If $|\overrightarrow{\mathrm{a}}|=\sqrt{26},|\overrightarrow{\mathrm{b}}|=7$ and $|\vec{a} \times \vec{b}|=35$ thenĀ $\vec{a} \cdot \vec{b}=?$
A. 5
B. 7
C. 13
D. 12
Solution:

