Mark against the correct answer in each of the following:
Question:
Mark $(\sqrt{)}$ against the correct answer in each of the following:
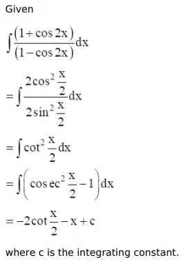
$\int \frac{(1+\cos x)}{(1-\cos x)} d x=?$
A. $-2 \cot \frac{x}{2}-x+C$
B. $-2 \cot \frac{x}{2}+x+C$
C. $2 \cot \frac{x}{2}+x+C$
D. none of these
Solution:
