Question:
Mark $(\sqrt{ })$ against the correct answer in each of the following:
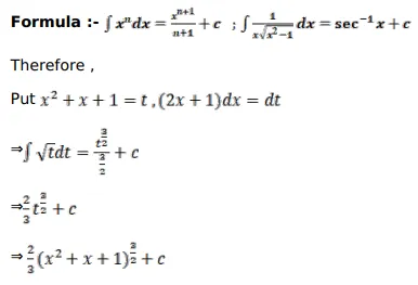
$\int\left\{(2 x+1) \sqrt{x^{2}+x+1}\right\} d x=?$
A. $\frac{3}{2}\left(x^{2}+x+1\right)^{3 / 2}+C$
B. $\frac{2}{3}\left(x^{2}+x+1\right)^{3 / 2}+C$
C. $\frac{3}{2}(2 x+1)^{3 / 2}+C$
D. none of these
Solution:
