Mark against the correct answer in each of the following:
Question:
Mark $(\sqrt{)}$ against the correct answer in each of the following:
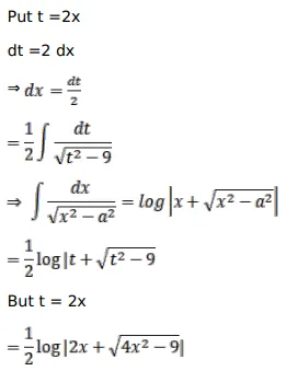
$\int \frac{d x}{\sqrt{4 x^{2}-9}}=?$
A. $\frac{1}{2} \log \left|2 x+\sqrt{4 x^{2}-9}\right|+C$
B. $\frac{1}{4} \log \left|x+\sqrt{4 x^{2}-9}\right|+C$
C. $\log \left|2 x+\sqrt{4 x^{2}-9}\right|+C$
D. none of these
Solution:

