Mark against the correct answer in the following:

Question:

Mark $(\sqrt{ })$ against the correct answer in the following:

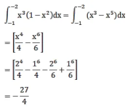
$\int_{-1}^{-2} x^{3}\left(1-x^{2}\right) d x=?$

A. $-\frac{40}{3}$

B. $\frac{40}{3}$

C. $\frac{5}{6}$

D. 0

Solution:

Leave a comment