Mark against the correct answer in the following:

Question:

Mark $(\sqrt{)}$ ) against the correct answer in the following:

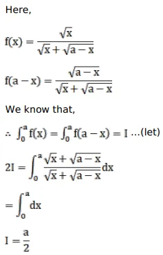
$\int_{0}^{q} \frac{\sqrt{x}}{(\sqrt{x}+\sqrt{a-x})} d x=?$

A. $\frac{\mathrm{a}}{2}$

B. $2 a$

C. $\frac{2 a}{3}$

D. $\frac{\sqrt{a}}{2}$

Solution:

Leave a comment