Mark against the correct answer in the following:

Question:

Mark $(\sqrt{ })$ against the correct answer in the following:

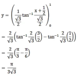
$\int_{0}^{1} \frac{d x}{\left(1+x+x^{2}\right)}=?$

A. $\frac{\pi}{\sqrt{3}}$

B. $\frac{\pi}{3}$

C. $\frac{\pi}{3 \sqrt{3}}$

D. none of these

Solution:

Leave a comment