Mark against the correct answer in the following:
Question:
Mark $(\sqrt{)}$ against the correct answer in the following:
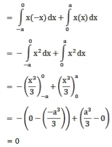
$\int_{-a}^{a} x|x| d x=?$
A. 0
B. $2 \mathrm{a}$
C. $\frac{2 a^{3}}{3}$
D. none of these
Solution:

